- 新闻中心
- news Center
- 联系我们
- Contact Us
苏州纳朴材料科技有限公司
- 联系人:
李女士
- Contact:
Ms. Li
- 手机:
18970647474(同微信)
- Mobile Phone:
+86-18970647474
(WeChat ID)
- 邮箱:
- E-mail:
2497636860@qq.com
- 技术联系人:
徐先生
- Technical Contact:
Mr. Xu
- 手机:
15607960267(同微信)
- Mobile Phone:
+86-15607960267
(WeChat ID)
- 邮箱:
- E-mail:
nanopure@qq.com
- 办公室地址:
苏州市相城区聚茂街185号D栋11层1102
- Office Address:
D-1102, 185, Jumao Street, Xiangcheng, Suzhou, Jiansu, China
- 工厂地址:
江西省吉安市井冈山经济技术开发区
- Plant Address:
Jinggangshan Economic Development Zone, Ji' an 343000, Jiangxi, China
六方氮化硼(h-BN)导热性能的三重调控:剥离、改性与取向分散
信息来源:本站 | 发布日期: 2026-01-19 08:37:35 | 浏览量:15711
当六方氮化硼(h-BN)与聚合物被制备成复合材料时,大量的界面是影响复合物热导率的核心因素之一,主要包括h-BN之间,以及h-BN与聚合物的界面。为降低界面热阻,提高热导率,h-BN的表面修饰及其与聚合物的相容性十分关键。笔者认为:h-BN的表面可控修饰应当是我们追求的目…
当六方氮化硼(h-BN)与聚合物被制备成复合材料时,大量的界面是影响复合物热导率的核心因素之一,主要包括h-BN之间,以及h-BN与聚合物的界面。为降低界面热阻,提高热导率,h-BN的表面修饰及其与聚合物的相容性十分关键。笔者认为:h-BN的表面可控修饰应当是我们追求的目标。例如,h-BN的表面羟基化,过渡羟基化必然降低其本征热导率;h-BN的聚合物或者硅烷偶联剂修饰,过渡修饰可能会产生杂质粒子,加剧散射。因此,不同聚合物选用何种修饰剂,如何可控修饰,修饰量与复合物热导率的关系均需要严格的实验验证。
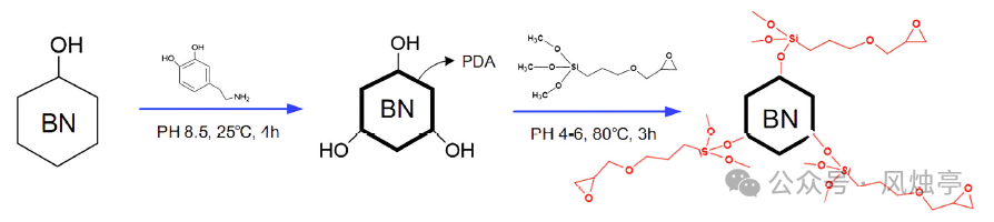
笔者之前分享了硅烷偶联剂在h-BN/聚合物复合物界面导热增强中的作用,认为其是连接无机/有机界面的重要桥梁。然而,如果h-BN表面羟基/氨基数量有限,且硅烷偶联剂自交联倾向较大,如何保证其在h-BN表面的接枝率?在本文中,我们介绍另一种非常重要的有机修饰剂,多巴胺(DA),并将其与硅烷偶联剂进行比较。
如下图所示,DA在弱碱性pH=8.5条件下在空气中会氧化自聚合,显而易见,聚合后所形成的聚多巴胺(PDA)含有丰富的羟基(-OH)和亚胺基(-NH-),这为其与其他材料通过氢键、化学交联提高界面相互作用提供了基础。同时,大量的共轭结构能够与富含π键的物质形成较强的π-π堆积相互作用。
h-BN能够与PDA通过π-π堆积相互作用,也可能与PDA的羟基通过氢键相互作用,甚至直接缩合交联。因此,PDA能够有效修饰h-BN,提高其在聚合物中的分散性和界面相互作用。如下图所示,Huai等采用PDA分别修饰7 μm和0.5 μm的h-BN,标记为BN7.0和BN0.5,并将其与细菌纤维素(BC)制备成复合薄膜,发现PDA修饰可显著提高水平热导率,无论大尺寸还是小尺寸h-BN(Ind. Eng. Chem. Res. 2022, 61, 4601−4611)。由图可知,大尺寸h-BN因为较少的界面散射热导率高于小尺寸。
如下图的XRD所示,PDA修饰显著提高了h-BN的水平取向度。对于h-BN,XRD中(002)和(100)晶面的衍射强度之比可以衡量其水平取向度,值越大,水平取向度越高。
h-BN水平取向度的提高可以从截面形貌进一步证明,如下图所示,BN7.0/BC和BN0.5/BC结构无序,h-BN混乱排列,而经PDA修饰之后,水平取向度明显提高。(m-p)示意了热量传导路径与界面散射,可见,大尺寸、且PDA修饰的h-BN有望呈现出最高的热导率。
至此,我们可以得出如下结论:在较高h-BN含量的薄膜中,PDA修饰不仅提高了h-BN的分散性以及与聚合物的界面相容性,还显著提升了h-BN的水平取向度。或者,水平取向度的提升是界面改善的结果之一。
如前所述,当h-BN的表面羟基较少时,硅烷偶联剂在其表面的接枝率有限。因此,研究者采用PDA作为h-BN与硅烷偶联剂的中间粘结层。如下图所示,Zhang等采用PDA修饰提高h-BN表面的羟基含量,进一步修饰KH560,并将其填充在环氧树脂中制备导热复合材料(Polymer Composites. 2020;1–13)。可以看出,KH560修饰的目标是实现h-BN与环氧树脂的共价交联。
前面提到修饰量特别关键,文中指出PDA的修饰量为0.44 wt%,而KH560的修饰量为1.57 wt%。下图示出了热导率数据,DBN指PDA修饰的h-BN,k-DBN指进一步KH560修饰的DBN。可以看出,PDA只能略微提高热导率,而KH560可以显著提高热导率。然而,由于PDA与KH560修饰量不同,二者对热导率的增强需要进一步证明,如下文所述。
Yang等也将PDA作为h-BN的粘附层,进一步在其表面修饰含有双键的硅烷偶联剂KH570,以便与天然橡胶硫化交联提高界面相互作用和热导率(Composites Science and Technology 177 (2019) 18–25),如下图所示。
下图左示出了热导率数据,可以看出,PDA-KH570修饰比单纯的BN更能显著提高热导率。如下图右所示,PDA-KH570修饰也明显提高了h-BN在聚合物中的水平取向度。
一个非常重要的问题:PDA与硅烷偶联剂修饰对于h-BN/聚合物复合物热导率的提升孰强孰弱?机理是什么?笔者认为:这不仅跟PDA和硅烷偶联剂(种类)的自身性质有关,还与聚合物的性质密切相关,只能具体问题具体分析。Pan等考察了羟基(-OH)、PDA和硅烷偶联剂KH550修饰对h-BN提升环氧树脂热导率的能力(International Journal of Heat and Mass Transfer 219 (2024) 124844)。结果如下图所示,可以看出,在类似的含量下,KH550优于PDA,而PDA优于羟基。
下图给出了-OH, PDA和KH550与h-BN和EP之间的作用力,-OH虽然共价键合在h-BN表面,但与环氧(EP)只存在氢键相互作用,PDA与h-BN和EP的主要作用力虽然是氢键,但存在少量共价键,而KH550与h-BN和EP主要以共价键连接。声子是晶格振动的能量量子,因而化学键合的桥连作用对其传递具有良好的促进作用。在选择h-BN的修饰剂时,应当充分考虑修饰程度、共价还是非共价修饰、修饰剂的自聚合程度、修饰剂与聚合物是否能够键合等诸多因素,这些均会导致不同的热传导性能及机制。
-
2026-02-02 08:48:52
在功率半导体、新能源汽车及智能电网飞速发展的今天,热管理已成为制约电子设备性能与寿命的“卡脖子”环节。对于高电压、大功率应用场景而言,绝缘与导…
-
2026-01-26 09:06:45
近年来,六方氮化硼(h-BN)及其纳米材料被广泛用于与高分子复合制备导热复合材料。一个基本的目标是不断提高复合物的热导率,然而,h-BN的热导率究竟是多…
-
2026-01-19 08:37:35
当六方氮化硼(h-BN)与聚合物被制备成复合材料时,大量的界面是影响复合物热导率的核心因素之一,主要包括h-BN之间,以及h-BN与聚合物的界面。为降低界…
-
2026-01-04 08:09:39
先进材料和电子器件等交叉学科的快速发展,对兼具热管理和阻燃性能的多功能复合材料提出了严峻挑战。福州大学等研究团队提出了一种由氮化硼导热骨架和苯…
-
2025-12-29 08:23:30
研究背景近年来,六方氮化硼(hBN)作为可光学调控自旋的宿主材料引起了广泛关注,这主要归功于其层状范德瓦尔斯结构所提供的独特属性,使其有别于钻石…
-
2025-12-26 13:08:13
论文题目:A spherical h-BN agglomerates-filled composite with high thermal conductivity and low dielectric loss 发表期刊:Ceramics Internatio…