- 新闻中心
- news Center
- 联系我们
- Contact Us
苏州纳朴材料科技有限公司
- 联系人:
李女士
- Contact:
Ms. Li
- 手机:
18970647474(同微信)
- Mobile Phone:
+86-18970647474
(WeChat ID)
- 邮箱:
- E-mail:
2497636860@qq.com
- 技术联系人:
徐先生
- Technical Contact:
Mr. Xu
- 手机:
15607960267(同微信)
- Mobile Phone:
+86-15607960267
(WeChat ID)
- 邮箱:
- E-mail:
nanopure@qq.com
- 办公室地址:
苏州市相城区聚茂街185号D栋11层1102
- Office Address:
D-1102, 185, Jumao Street, Xiangcheng, Suzhou, Jiansu, China
- 工厂地址:
江西省吉安市井冈山经济技术开发区
- Plant Address:
Jinggangshan Economic Development Zone, Ji' an 343000, Jiangxi, China
昆明理工大学Nano-Micro Lett.|高导热阻燃水性聚氨酯复合材料,通过磁场辅助实现 3D BNNS 桥接结构
信息来源:本站 | 发布日期: 2025-02-22 08:37:37 | 浏览量:315704
简介聚合物电封装材料中热传导通路微结构设计对于满足现代电子设备对高效热管理和热失控安全性的严格要求至关重要。因此,通过同时将磁性改性氮化硼纳米片(M@BNNS)和非磁性有机接枝氮化硼纳米片(U-BNNS)引入水性聚氨酯(WPU)中,在水平磁场下同步成型,开发了一种具…
简介
聚合物电封装材料中热传导通路微结构设计对于满足现代电子设备对高效热管理和热失控安全性的严格要求至关重要。因此,通过同时将磁性改性氮化硼纳米片(M@BNNS)和非磁性有机接枝氮化硼纳米片(U-BNNS)引入水性聚氨酯(WPU)中,在水平磁场下同步成型,开发了一种具有三维网络(Ho/U-BNNS/WPU)的复合材料。结果表明,沿磁场方向排列的 M@BNNS 形成的连续平面通路,与 U-BNNS 建立的桥接结构相结合,使 Ho/U-BNNS/WPU 表现出优异的平面(λ // )和穿透平面热导率(λ ⊥ )。特别是,添加 30 wt% M@BNNS 和 5 wt% U-BNNS 后,复合材料的λ // 和λ ⊥ 分别达到 11.47 和 2.88 Wm−1K−1 ,与单一取向的 M@BNNS 复合材料相比,λ ⊥ 提高了 194.2%。 同时,Ho/U-BNNS/WPU 在 LED 和芯片的热管理材料方面表现出^的热管理能力。复合材料还显示出优异的阻燃性,与 WPU 相比,峰值热释放和总热释放分别降低了 58.9%和 36.9%。因此,这项工作为聚合物复合材料的导热结构设计和高效阻燃系统提供了新的见解,并在电子封装领域具有广泛的应用潜力。
材料
六方氮化硼粉末、六亚甲基二异氰酸酯、6-甲基胞嘧啶、二丁基锡二硬脂酸酯、水性聚氨酯、乙醇、乙二醇、氢氧化钠、氢氧化钾、氯化锰四水合物、氯化铁六水合物、氨水、聚乙烯吡咯烷酮、尿素。
制备
1、 功能性填料的制备
填充剂制备过程包括三个主要阶段:h-BN 的剥离、氮化硼纳米片的磁改性(M@BNNS)和 2-脒基-4[1H]-嘧啶酮(UPy)改性氮化硼纳米片(U-BNNS)。首先,大量 h-BN 在混合碱性溶液中进行高温水热处理,然后使用高速剪切机剥离以产生 BNNS。接下来,获得的 BNNS 与四水合氯化锰、六水合氯化锰、尿素和 PVP 混合在乙二醇溶液中。混合物用氨水调节至弱碱性。水热处理后,原位合成了锰铁氧体复合物 M@BNNS。U-BNNS 的制备涉及将 BNNS 与自制的 UPy 在 DMF 中充分混合。在这个过程中,UPy 的异氰酸酯端基与 BNNS 表面的羟基反应,导致 UPy 接枝到 BNNS 表面,得到 U-BNNS。
2、不同结构的聚合物复合材料的制备
3D-桥接结构复合材料是通过同时将磁性纳米片(M@BNNS)和非磁性纳米片(U-BNNS)引入 WPU 中,在水平磁场下同步成型制备的。例如,含有 30 wt% M@BNNS 和 3 wt% U-BNNS(指定为 Ho/3-U-BNNS/WPU)的复合材料被制备出来。在此过程中,将 3 g 的 M@BNNS 粉末、0.3 g 的 U-BNNS 粉末和 16.75 g 的 WPU 分散液(固体含量 40%)混合在一个圆底烧瓶中。混合物经过 60 分钟的机械搅拌和超声波处理以确保均匀性。真空脱气 5 分钟后,将混合物倒入聚四氟乙烯模具中成型。模具放置在一个定制旋转平台上,转速设置为 5 rpm。旋转平台的两侧各放置一个 N52 磁铁,距离调整以保持平台中心的磁场强度为 30 至 50 mT。这种布置使 M@BNNS 在基体中有效对齐。停止旋转后,混合溶液自然干燥,形成 Ho/3-U-BNNS/WPU 复合材料。 通过调整不受磁场影响的填充物,同时保持其他条件不变,可以制备出各种复合材料,例如含有 3 wt% BNNS 的 3D-桥接结构复合材料,命名为 Ho/3-BNNS/WPU。
主要研究结论
图1、M@BNNS 和 U-BNNS 的制备图;h-BN 剥离和改性过程中的材料表面结构和性质表征,b XRD,c XPS 扫描光谱,d N 1s 的高分辨率 XPS 光谱,e Fe 2p 的高分辨率 XPS 光谱;f BNNS、M@BNNS 和 MnFe 2 O 4 的磁滞回线;g M@BNNS 在悬浮液上的磁吸附实验照片
图2、 a. 大块 h-BN 的扫描电子显微镜(SEM)图像;b. BNNS 的 SEM 图像;c. BNNS 的原子力显微镜(AFM)图像;d. BNNS 的透射电子显微镜(TEM)图像;e. M@BNNS 的 TEM 图像及其相应的高分辨率图像;f. U-BNNS 的 TEM 图像及其匹配的能谱仪(EDS)元素分析
图3、a 3D-桥接结构复合材料的制备示意图(基于磁场取向);b 不同结构复合材料的示意图;c 纯 WPU 截面液氮脆性断面的 SEM 图像;d M@BNNS/WPU 复合材料的 SEM 图像;e Ho/WPU;f Ho/U-BNNS/WPU
图4、a 复合材料不同结构的平面热导率;b 与单向复合材料相比,桥梁结构复合材料平面热导率百分比改进的统计图表;c 不同结构复合材料传热能力的有限元模拟;d 不同结构复合材料热导率机制的示意图;e 与近期热导率复合材料相比的 3D 桥梁结构复合材料热导率比较;f LED 热管理测试用热导率薄膜的示意图;g 作为硅基芯片热界面材料的不同复合材料的有限元模拟图及其相应的芯片温度曲线
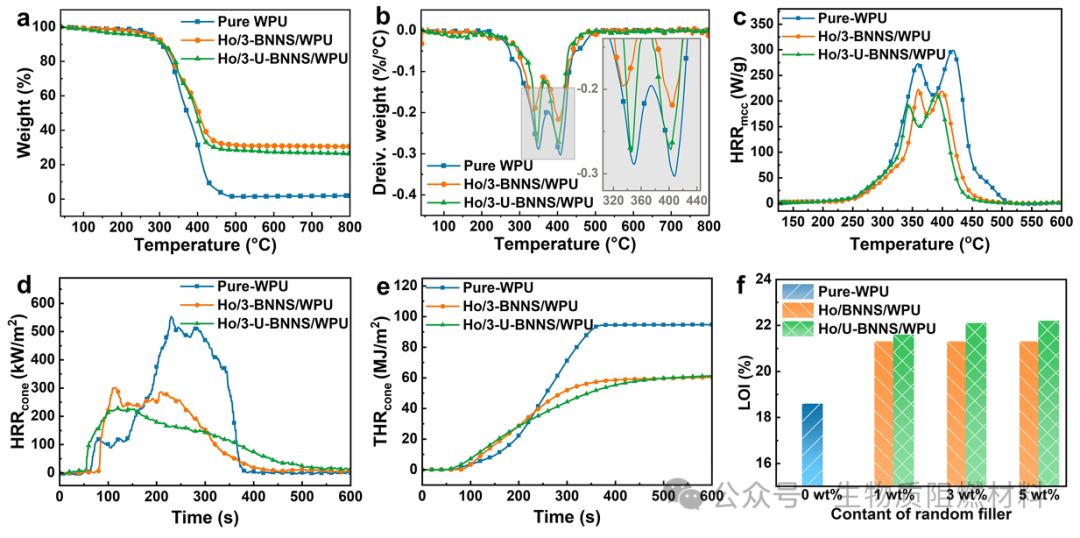
图5、纯 WPU 及其复合物的热重曲线,b 相应的热重差分曲线。纯 WPU 及其复合物的阻燃性能测试,c 根据微量热法测试的热释放速率曲线,d 热释放速率曲线,以及 e 根据锥形量热法测试得到的相应总热释放曲线。f 极限氧指数
图6、数字照片及对应的 WPU 碳残留物、b Ho/BNNS/WPU 和 c Ho/U-BNNS/WPU 燃烧后的 SEM 图像;纯 WPU 及其复合材料燃烧后的表面结构和元素组成分别由 d XRD、e XPS 扫描光谱、f N 1s XPS 精细光谱和 g 拉曼光谱表征;h 3D-桥结构复合材料的阻燃机理示意图
结论
本研究通过同时将磁性响应性纳米片(M@BNNS)和非磁性纳米片(U-BNNS)融入 WPU 基体,在水平磁场下同步成型,开发了一种具有 3D 网络连续路径的复合材料,即 Ho/U-BNNS/WPU。采用一步成型法创建 3D 桥接结构,其中 M@BNNS 在水平磁场下形成平面热传导路径,与 U-BNNS 建立的桥接结构相结合,有效地在 Ho/U-BNNS/WPU 中建立了三维连续路径。这种微观结构设计使得复合材料表现出^的平面(λ // )和穿平面热导率(λ ⊥ )。特别是,添加 30 wt% M@BNNS 和 5 wt% U-BNNS 后,复合材料的λ // 和λ ⊥ 分别达到 11.47 和 2.88 W m −1 K −1 ,与单一取向的 M@BNNS 复合材料相比,λ ⊥ 提高了 194.2%。有限元模拟证实了 Ho/U-BNNS/WPU ^的热传导能力。 此外,该复合材料表现出显著的阻燃性,与纯 WPU 相比,峰值热释放速率降低了 58.9%,总热释放量降低了 36.9%。对残留炭形态和元素组成的分析揭示了协同的气相和凝聚相阻燃机制。此外,当用作 LED 和芯片冷却的热界面材料时,Ho/U-BNNS/WPU 表现出优异的实际热管理性能。因此,这项工作不仅提出了一种新型热导复合材料结构设计和高效阻燃的方法,而且为集成电路和电池的阻燃热管理材料提供了有希望的应用。
-
2026-03-30 09:10:36
随着电子器件向轻薄化、集成化和高性能化方向快速发展,高效热管理成为保障设备可靠性与使用寿命的关键。在众多导热填料中,氮化硼(特别是六方氮化硼,…
-
2026-03-23 08:09:03
近日,一项发表于《自然通讯》(Nature Communications)的研究报道了同位素纯化六方氮化硼(h⁰BN)在热输运领域的突破性发现。研究团队通过精密实验测…
-
2026-03-16 09:59:05
随着电子器件向轻薄化、集成化和高性能化方向快速发展,高效热管理成为保障设备可靠性与使用寿命的关键。在众多导热填料中,氮化硼(特别是六方氮化硼,…
-
2026-03-09 08:16:32
2026年2月19日,Nat. Synth.在线发表了上海交通大学吴天如副研究员、高文旆副教授和华东师范大学袁清红研究员课题组的研究论文,题目为《Melting-assis…
-
2026-03-03 09:05:35
在固体材料中,电子自旋与光学跃迁耦合已成为发展自旋量子技术的一个极具前景的平台。最近,六方氮化硼作为一种有前途的光学可寻址自旋系统宿主材料脱颖…
-
2026-02-26 10:17:10
氮化硼材料的高导热+强绝缘,完美适配5G射频芯片、新能源电池、半导体封装等高功率场景,是高性能绝缘导热材料的首选,为高功率电子设备热管理提供新的…